Permutation Calculator : Example Application Calculation Of Factorial Permutation And Combination / Permutations calculator make use of the handy tool for permutations and determine the number of permutations in a set.

Permutation Calculator : Example Application Calculation Of Factorial Permutation And Combination / Permutations calculator make use of the handy tool for permutations and determine the number of permutations in a set.. In mathematics, the permutation is the number of ways to get. To improve this 'permutation with repetition calculator', please fill in questionnaire. A permutation calculator is a handy tool which helps you find out how many permutations a given set has. Number to be taken r: Where 0 < r < = n.

Arranging of the whole or part of a set of objects with paying attention to the order of the management is called as the permutation. Remember to use the second function button in order to access permutations. This free calculator can compute the number of possible permutations and combinations when selecting r elements from a set of n elements. Find the number of combinations and/or permutations that result when you choose r elements from a set of n elements. Our permutation calculator helps you to arrange elements from the set of elements in proper order.

How To Calculate Permutation Combination Using Es991 Calculator Youtube
How To Calculate Permutation Combination Using Es991 Calculator Youtube from i.ytimg.com
Enter the total number of objects (n) and number of elements taken at a time (r) 3. A permutation is the number of different ways in which n objects can be arranged. Byju's online permutation and combination calculator tool performs the calculation faster and it displays the possible number of combinations in a fraction of seconds. Home / mathematics / permutation and combination; The permutation is a process of arranging or rearranging a set of element in. A permutation is a way to select a part of a collection, or a set of things in which the order matters and it is exactly these cases in which our permutation calculator can help you. This free calculator can compute the number of possible permutations and combinations when selecting r elements from a set of n elements. Find out how many different ways to choose items.

Arranging of the whole or part of a set of objects with paying attention to the order of the management is called as the permutation.

This free calculator can compute the number of possible permutations and combinations when selecting r elements from a set of n elements. Calculate combinations and permutations in five easy steps: A permutation calculator is a handy tool which helps you find out how many permutations a given set has. This below permutation calculator provides you the permutations count with the known values of n and r. The answer of the above problem is 720 720. The elements are not repeated and depend on the order of the elements in the group. Also, check out the combination calculator if. This npr calculator determine the number of permutations that's the result when we choose r objects from n numbers of set. Combinations calculator statistics calculator formulas and notes graphing calculator equation calculator algebra calculator. Home / mathematics / permutation and combination; Select whether repeat elements are permitted. Enter the total number of objects (n) and number of elements taken at a time (r) 3. Moreover, you can also use our mean calculator, midpoint calculator & sig fig calculator without any hidden charges.

Learn more about the differences between permutations and combinations, or explore hundreds of other calculators covering topics such as finance, fitness, health, math, and more. To improve this 'permutation with repetition calculator', please fill in questionnaire. An online permutation calculator helps you to find the number of possible subsets that can be obtained including the subsets of same items in different orders. The given below is the simple online even permutation calculator for finding the permutations for your n. The permutation is a process of arranging or rearranging a set of element in.

Amazon Com Scientific Calculator With Graphic Functions Multiple Modes With Intuitive Interface Perfect For Beginner And Advanced Courses High School Or College Blue Electronics
Amazon Com Scientific Calculator With Graphic Functions Multiple Modes With Intuitive Interface Perfect For Beginner And Advanced Courses High School Or College Blue Electronics from m.media-amazon.com
The elements are not repeated and depend on the order of the elements in the group. This below permutation calculator provides you the permutations count with the known values of n and r. This npr calculator determine the number of permutations that's the result when we choose r objects from n numbers of set. To improve this 'permutation with repetition calculator', please fill in questionnaire. Calculates the number of permutations of n things taken r at a time. Combinations calculator statistics calculator formulas and notes graphing calculator equation calculator algebra calculator. An online permutation calculator helps you to find the number of possible subsets that can be obtained including the subsets of same items in different orders. One of the popular applications of permutations is to find how many distinct ways to arrange n letters.

This below permutation calculator provides you the permutations count with the known values of n and r.

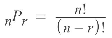
Number to be taken r: The permutations were formed from 3 letters a b and c so n 3. N p n calculator uses the same permutation formula to get accurate results. Our permutation calculator helps you to arrange elements from the set of elements in proper order. One of the popular applications of permutations is to find how many distinct ways to arrange n letters. A permutation is the number of different ways in which n objects can be arranged. Microsoft mathematics is a free scientific calculator that can also be used as a combination and permutation calculator software for windows. Combinations calculator statistics calculator formulas and notes graphing calculator equation calculator algebra calculator. In mathematics, the permutation is the number of ways to get. The permutations calculator finds the number of subsets that can be created including subsets of the same items in different orders. For example, if you have just been invited to the oscars and you have only 2 tickets for friends and family to bring with you, and you have 10 people to choose. Permutation is often symbolized as npr which we will also use in this article. Permutation calculator letters and numbers.

Enter the total number of objects (n) and number of elements taken at a time (r) 3. Simply enter the inputs n, r in the specified input sections, and click on the calculate button next to the input section to find the output in a matter of seconds. If you don't actually care the order of the selection, use the combination calculator (or change the input in the tool). The answer of the above problem is 720 720. User can get the answered for the following kind of questions.

Permutation Combination Pnr Cnr Calculator
Permutation Combination Pnr Cnr Calculator from www.mymathtables.com
An online permutation calculator helps you to find the number of possible subsets that can be obtained including the subsets of same items in different orders. It arranges element in two different ways they are ordered without repeating (distinct) elements and with repeating elements. For example, if you have just been invited to the oscars and you have only 2 tickets for friends and family to bring with you, and you have 10 people to choose. Permutations are described as distinct objects taken at a particular time. Number to be taken r: Enter n and r, to get the permutations. Simply enter the inputs n, r in the specified input sections, and click on the calculate button next to the input section to find the output in a matter of seconds. Select whether repeat elements are permitted.

Permutation is often symbolized as npr which we will also use in this article.

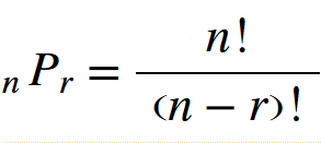
User can get the answered for the following kind of questions. N p n = n!/ (n−r)! Permutations are described as distinct objects taken at a particular time. In mathematics, the permutation is the number of ways to get. Simply enter the inputs n, r in the specified input sections, and click on the calculate button next to the input section to find the output in a matter of seconds. The given below is the simple online even permutation calculator for finding the permutations for your n. The permutation calculator will easily calculate the number of permutations for any group of numbers. Online calculator permutations without repetition. The calculator can calculate the number of permutation of a set giving the results in exact form : Learn more about the differences between permutations and combinations, or explore hundreds of other calculators covering topics such as finance, fitness, health, math, and more. Also, check out the combination calculator if. Find out how many different ways to choose items. Enter n and r, to get the permutations.

A permutation is a way to select a part of a collection, or a set of things in which the order matters and it is exactly these cases in which our permutation calculator can help you permuta. Moreover, you can also use our mean calculator, midpoint calculator & sig fig calculator without any hidden charges.

Komentar